![]() since 2006 Help Sitemap |
||||||||||||
| < Forum > | ||||||||||||
| < Products > | ||||||||||||
| < Quantum History Theory > | ||||||||||||
| < Reduced Form of Uda Equation > | ||||||||||||
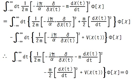
Yuichi Uda derived the following equation from the original form of the Uda equation on 2011/07/01. ![]() where S is the action functional such that .--- The derivation owes mainly to the following relation. ![]() I believe that this relation holds because it is analogous to the chain rule for partial differentiation. It is understood clearly by thinking of a shift of the graph of χ parallel to t-axis as a variation of χ. ![]() Then the analogy stands as follows. ![]() In addition to it, I paid attention to the following point. ![]() Taking these two points into account, we can calculate as follows. ![]() By using the original form of the Uda equation here, the reduced form of it is obtained as follows. ![]() --- This article is a rewrite of the article 'Reduced Form of the New Equation' in the following page. Former half@Theory of Quantum History Entangled in Time-like Direction@Products of Grammatical Physics@Grammatical Physics@Forum@Vintage(2008-2014) The content of this article was presented by me at JPS 2011 Autumn Meeting. |
||||||||||||
| Author Yuichi Uda, Write start at 2015/05/21/20:56JST, Last edit at 2016/04/01/13:54JST | ||||||||||||
|
|
||||||||||||
|
|
||||||||||||
|
|
||||||||||||
|
|
||||||||||||