![]() since 2006 Help Sitemap |
||||||||||||
| < Forum > | ||||||||||||
| < Problems > | ||||||||||||
| < Quantum History Theory > | ||||||||||||
| < Exact Solution of Uda Equation (3a) > | ||||||||||||
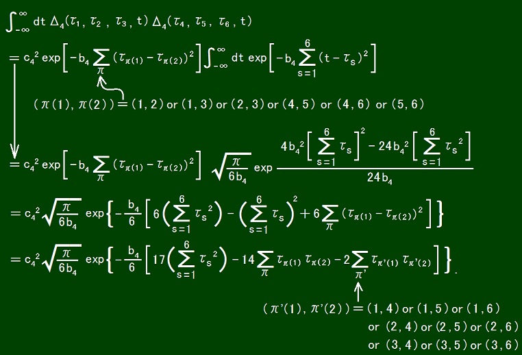
This page shows how I failed to solve the harmonic oscillator problem. . . .![]() ![]() ![]() where π(1) < ・・・ <π(k) and π(k + 1) < ・・・ <π(n). --- --- ![]() --- Δ2(t1, t2) = 0. ![]() --- Δ1(t1) = 0 ⇒ Δ2k+1(t2k+1) = 0 ---. Δ4(t1, t2, t3, t4) = c4 exp[-b4(t1 - t2)2] exp[-b4(t1 - t3)2] exp[-b4(t1 - t4)2] exp[-b4(t2 - t3)2] exp[-b4(t2 - t4)2] exp[-b4(t3 - t4)2]. Δ4(t1, t2, t, t) = c4 exp[-b4(t1 - t2)2] exp[-2b4(t1 - t)2] exp[-2b4(t2 - t)2] = c4 exp[-b4(t1 - t2)2] exp[-4b4t2 + 4b4(t1 + t2)t - 2b4(t12 + t22)]. ![]() ![]() Δ6(t1, t2, t3, t4, t5, t6) = 0. Δ4k-2(t1, ・・・, t4k-2) = 0. where π(1) <π(2) <π(3) <π(4) and ・・・ and π(4k-3) <π(4k-2) <π(4k-1) <π(4k) and π(4) <π(8) < ・・・ <π(4k). ![]() ![]() |
||||||||||||
| Author Yuichi Uda, Write start at 2018/04/15/14:18JST, Last edit at 2018/04/19/16:02JST | ||||||||||||
|
|
||||||||||||
|
|
||||||||||||
|
|
||||||||||||
|
|
||||||||||||